Posts

Mode example (Grouped data)

Image
  Below given is the data representing the scores of the students in a particular exam. Let us try to find the mode for this: Exam Score (x i )   (f i ) 41-50 2 51-60 9 61-70 7 71-80 15 81-90 6 90-100 3   Modal class = 71 - 80 (This is the class with the highest frequency). The Lower limit of the modal class (l) = 71, Frequency of the modal class (f1) = 15, Frequency of the preceding modal class (f0) = 7, Frequency of the next modal class (f2) = 6, and Size of the class interval (h) = 10. Thus, the mode can be found by substituting the above values in the mode formula, Therefore, the mode for the above dataset is 75.71.

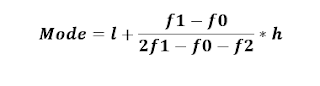
Formula for Mode

Image
  Ungrouped Data: For ungrouped data, mode is the value or values that appear with the highest frequency. Grouped Data: Here,   l = Lower limit of the modal class   h = Size of the class interval (assuming all class sizes to be equal)   f1 = Frequency of the modal class   f0 = Frequency of the class preceding the modal class   f2 = Frequency of the class succeeding the modal class
Image
T he mode is a measure of central tendency that represents the most frequently occurring value in a dataset. In other words, it is the value or values that appear with the highest frequency. Unlike the mean and median, which represent central values in the dataset, the mode identifies the value(s) that occur most frequently. A dataset can have: Ø No Mode : If all values occur with the same frequency, or if there are no repeated values, the dataset is said to have no mode. Ø Unimodal : If one value occurs more frequently than any other, the dataset is unimodal, and that value is the mode. Ø Bimodal : If two values have the highest frequency and occur more frequently than other values, the dataset is bimodal. Ø Multimodal : If more than two values share the highest frequency, the dataset is multimodal. For example , in the dataset [2, 4, 4, 6, 7, 4, 8], the mode is 4 because it appears more frequently than any other value.

Merits and Demerits of Median

Image
 

Properties of Median

Image
 

Median example (Grouped data):

Image
  Let’s consider the following frequency distribution that shows the exam scored receive by 40 students in a certain class: Exam Score (x i )   (f i ) CF 51-60 9 9 61-70 7 16 71-80 15 31 81-90 6 37 90-100 3 40 Here, n= 40. Therefore, n/2 = 40/2 = 20 Thus, the observations lie between the class interval 61-70, which is called the median class. Therefore, Lower class limit = 61 Class size, h = 10 Frequency of the median class, f = 7 Cumulative frequency of the class preceding the median class, CF = 16. Now, substituting the values in the median formula given above, we get Median= 61 + (20-16)/7 *10 =  66.71 Therefore, the median marks for the given data are 66.71.

Median example (Ungrouped data)

Image
  Find the median of the following data for marks in Statistics (out of 100). {99, 34, 45, 72, 98, 40, 62, 21} Step 1: Order the values from low to high 21, 34, 40, 45, 62, 72, 98, 99 Here, n (total number of observations) is 8, which is even, so we will use the formula given below: Thus, median marks in Statistics are 53.5.